Discovery Campervans New Zealand

How Far Do You Want to Travel?

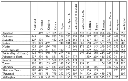
Distance Chart - North Island

Distances Shown in Kilometers

Distance Chart - South Island

Distances Shown in Kilometers

How Far to Travel in a Day

Remember that driver fatigue kills. If you are driving long distances it is recommended that you have more than one licensed driver and that you share the driving, giving each other a chance to rest. Obviously this isn't always possible, in which case stop for a snack or a coffee every two hours. Stop, Revive, Survive!

The amount you would like to cover in a day obviously varies according to the nature of your holiday. Always remember that the landscape changes dramatically in New Zealand and distance does not always mean the same duration. Some drives involve mountains and winding roads which will slow your travelling time down, including stopping to be awed by the scenery.

Assume if you are on the open road in your campervan that you will be covering between 80 and 90 kilometres an hour, stops permitting. We would not recommend you travel more than 4 or 5 hours in a day. Any further and the drive just becomes a tedious chore, and you fail to acknowledge or appreciate the scenery you are driving through. An ideal distance is between 200 and 400 kilometres, as that way you cover a fair distance but not enough to tire you out.

Just play it safe with your driving and your holiday will be all the better for it!